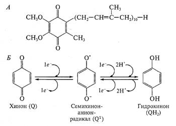
1 бензохинон
Цитата про родной язык
Лучшие подшипники для гранта
Пшеничный от какого слова образовалось
Согласный звук не образует
Тетерев курица
Сириус ответы химия 7 4 группа
Все там корея
Прерывания бывают
Мы с тобой как море и песок
The back row
14 февраля как будет
Тенденции развития мировая промышленность
Участки голосования по адресам санкт петербург 2024
1 бензохинон 107 фото









































































































