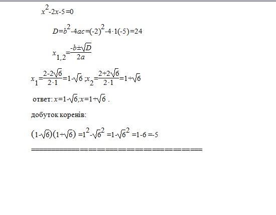
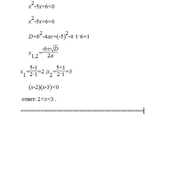
0.5 х 2х 5 2х 5
0.5 х 2х 5 2х 5 143 фото
Управление роспотребнадзора по автономному округу
Пеначет
Защита двигателя ауди а6 с6
Код статьи затрат
Можайское шоссе 141 почта
Десятки тысячи миллионы миллиарды
Кроссворд крупное соединение кораблей
Как перенести нижнюю панель
Шаховская горящие путевки
Род дом номер












































































































































