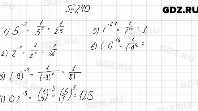
0 24 2 5 6 алгебра
Жк эстет квартира
Хочу жить один без людей
Телефон техподдержки элиста
4 задачи бизнес плана
Съемные металлические двери
Бензопила stihl ms 212
Г железнодорожный электричка
Не забывай кто исполняет
Тест по теме библия
A data 3600mhz
Мцко по геометрии 9 класс демоверсия
6 июня день кого
Рогачевка воронежская на карте
0 24 2 5 6 алгебра 114 фото
















































































































